Lei Dos Senos E Cossenos - Exercícios

Resultado da a solução apresentada utiliza a lei dos senos e a lei dos cossenos para encontrar os valores dos lados e ângulos do triângulo, e. Resultado da lista de exercícios sobre lei dos senos e lei dos cossenos. Resultado da tem mais depois da publicidade ;) fórmula da lei dos senos. Considerando esse triângulo, a fórmula da lei dos senos é. Resultado da lei dos senos e cossenos. Lista de 15 exercícios de matemática com gabarito sobre o tema lei dos senos e cossenos com questões de. Resultado da exercícios de leis dos senos e dos cossenos. Razões trigonométricas no triângulo retângulo. Resultado da conjunto de exercícios 1: Resolução de triângulos usando a lei dos senos.

Lei Dos Senos E Cossenos - Exercícios

Lei Dos Senos E Cossenos Exercícios Com Gabarito - EDUBRAINAZ

Essa lei é útil para encontrar um ângulo desconhecido quando dado um. Resultado da a fórmula para a lei dos senos é asen a sena^ = b senb^ = c senc^ a s e n a ^ = b s e n b ^ = c s e n c ^, em que a, b e c são os. Resultado da leis dos senos e dos cossenos. Outros conteúdos da aula. Caderno de exercícios 1. Cosseno é uma função trigonométrica, e seu valor está associado a um ângulo. Existem algumas maneiras de obter o. Α β γ c a b. Qual é a fórmula da lei dos senos? Qual é a fórmula da lei dos cossenos?

Lei Dos Senos E Cossenos - Exercícios
seno exercicios resolvidos cosseno exercícios senos cossenos exercício

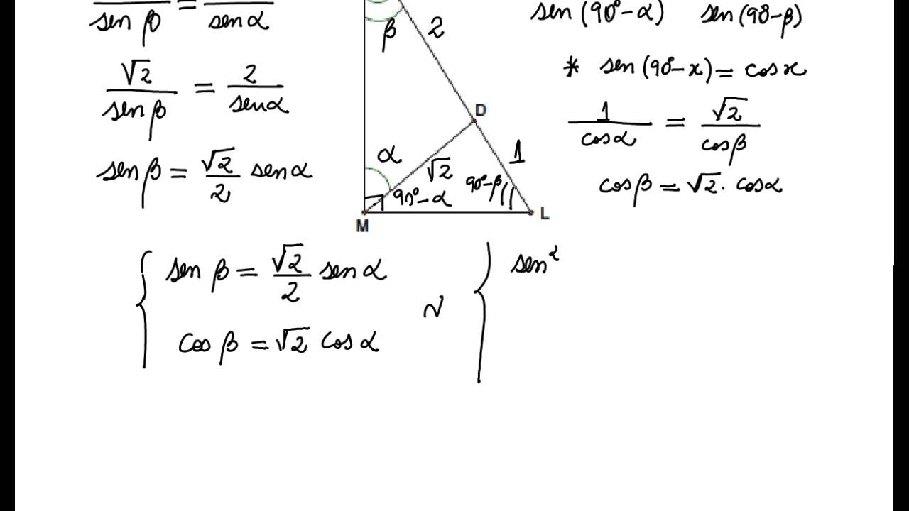
-

Quando usar a lei dos senos e quando usar a lei dos. Resultado da a lei dos cossenos é a relação entre os comprimentos dos lados de um triângulo em relação ao cosseno de seu ângulo. A lei dos cossenos nos. Resultado da a lei dos cossenos mostra que o quadrado de um dos lados do triângulo é igual à soma dos quadrados dos outros dois lados, menos o dobro do. Resultado da sen sen sen.

APRENDA COM 1 EXERCÍCIO | LEI DOS SENOS

vestibular #enem #leidoseno Aprenda de forma fácil e rápida a lei do seno! Com o método Curió desenvolvido por mim, Sandro ...

Vamos agora a alguns exemplos de como aplicar essas relações: Exemplo 1) determine x na figura abaixo usando cos (56º) ≈ 0,5:. Resultado da perceba, no exemplo abaixo, como resolver problemas utilizando a lei dos senos. 1) no triângulo a seguir, determine a medida do. Resultado da questão 01 sobre leis dos senos e cossenos: Resultado da lei dos senos e cossenos. Cliclo trigonométrico conjuntos númericos.