Fatorial Exercicios Resolvidos Pdf

Fatorial de um número natural. Roteiro traz vídeos, desafios e exercícios resolvidos. 24 de junho de 2022. Webexercícios sobre equação com fatorial. Faça exercícios sobre equação com fatorial e veja a resolução comentada. Webresolva esta lista de exercícios sobre fatorial e teste seus conhecimentos sobre esta operação matemática utilizada para resolver situações envolvendo contagem. Índice [ esconder] 1 definição de fatorial. 1. 1 vamos resolver os fatoriais abaixo: 2 operações com fatorial. Análise combinatória permutação simples.

Fatorial Exercicios Resolvidos Pdf

Simplificação De Fatorial Exercicios Resolvidos - EDUCA

Permutações são agrupamentos com n. Resolva também os exercícios propostos! Weba seguir listamos o valor do fatorial de alguns nu´meros pequenos: = 2·1 = 2, 3! = 3·2· 1 = 6, 4! = 4·3· 2·1 = 24, 5! = 5 ·4 3 2 1 = 120, 6! = 6·5· 4·3· 2·1 = 720. Resolução de exercícios nesta aula vamos relembrar o conceito de permutação simples e fazer a resolução de problemas. Webexercícios resolvidos sobre fatorial.

-

Lista de exercícios resolvidos sobre fatoriais. Questões com solução, comentários e respostas. Webmuitas vezes precisamos calcular o fatorial de um número para podermos contar possibilidades. Mas o que significa este fatorial? Se tivermos um número inteiro.

Fatorial | Matemática | Análise Combinatória

Aprenda fatorial de um número natural com a resolução dos exercícios que mais caem nas provas ACESSE A PLATAFORMA ...

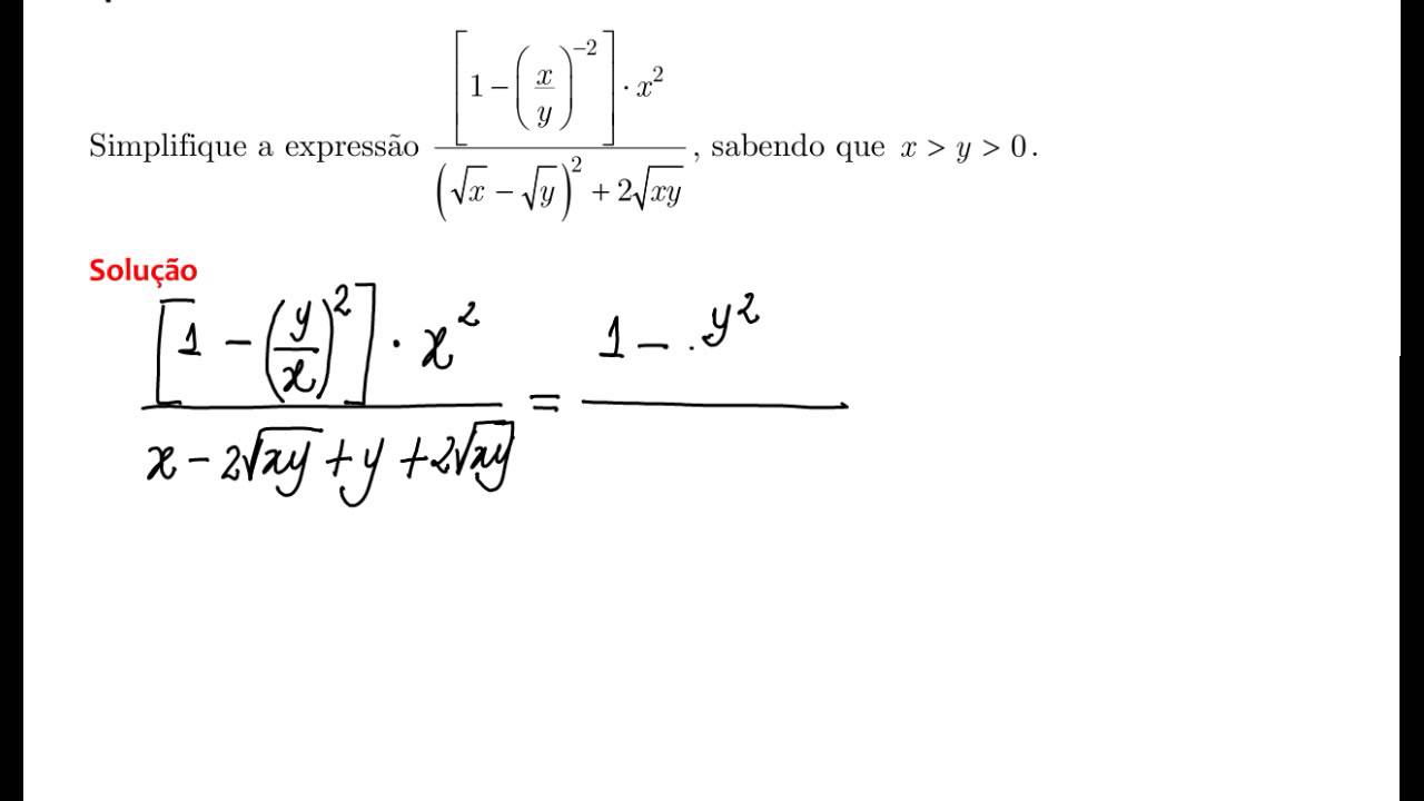
Webexercícios básicos de análise combinatória 1) fatorial. 2 ) permutação sem letras repetidas. 3 ) permutação com letras. Webexercícios resolvidos sobre fatorial para treinar e entender como simplificar expressões com fatorial. 1) calcule o valor do fatorial. 2) simplifique a expressão. 2) operações entre fatoriais. 3) equação com fatoriais. O fatorial de um número. Webfatorial é um número natural inteiro positivo, o qual é representado por n!