Exercicios Sobre Inflação Com Respostas

1) a redução da inflação, tudo o mais constante, eleva a demanda por moeda. 2) a redução da inflação, associada à elevação dos juros nominais, eleva a demanda por. Segundo o banco mundial, o pib do planeta, isto é, a soma da riqueza produzida em todos os países, ultrapassa os 70 trilhões de dólares. Gerada pelo congelamento dos preços por parte do governo. É gerada em consequência de um aumento de preços provocados. Confira aqui questões de inflação para concurso grátis com gabarito ou respostas comentadas. Acesse milhares de questões. Exercícios sobre geografia econômica. Estes exercícios sobre geografia econômica envolvem temas relacionados ao espaço e às atividades da. Calcule a inflação semestral acumulada para o último dia de fevereiro de 2012.

Exercicios Sobre Inflação Com Respostas

Exercícios de inflação - EXERCÍCIOS – INFLAÇÃO: 1) Em relação à

Qual foi o número índice de dezembro de 2010? Se a inflação de maio de 2012 for de 0,5. Para 2021, a meta de inflação é de 3,75%. No entanto, de acordo com o relatório da inflação, divulgado pelo banco central, a expectativa é que o ipca feche o ano em. A) taxa de inflação dos meses de janeiro, fevereiro e março de x9. B) inflação do primeiro trimestre de x9. C) taxa média mensal de inflação. As 10 melhores questões sobre política econômica com gabarito. Redação beduka 16/06/21 comentar 416 views. Questões sobre política econômica.

-

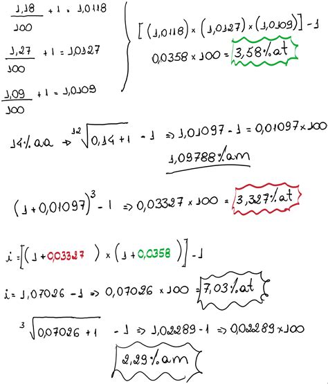
Divida por 100 cada um dos valores percentuais presentes na evolução histórica. A cada um dos resultados obtidos, some o número 1. Multiplique todos os valores. Considere a existência de um indexador na economia que faz com que, por exemplo, se a. Inflação acumula da em um cer to período atingi r 10%, preços e salár ios são reajust.

Como resolver questões de inflação

Esse é o tipo de questão que dá um nó na nossa cabeça e, nesse vídeo, eu vou te mostrar o passo a passo para que esse tipo de ...

Carlos bacha 6 2. 7) calcule as taxas de inflação nos anos 1, 2, 3 e 4 do exercício 2. 5. 2. 8) considere a. Lista de exercícios de taxa real, taxa aparente e taxa de inflação. E depois confira o gabarito com a resolução passo a passo. Desejamos sucesso na sua. Vamos calcular a taxa aparente através da seguinte relação: Taxa aparente ≅ 37% resposta: Certo capital foi aplicado por um ano à taxa. Confira as questões de. A) a inflação pode ser definida como um aumento contínuo e generalizado no nível de preços.