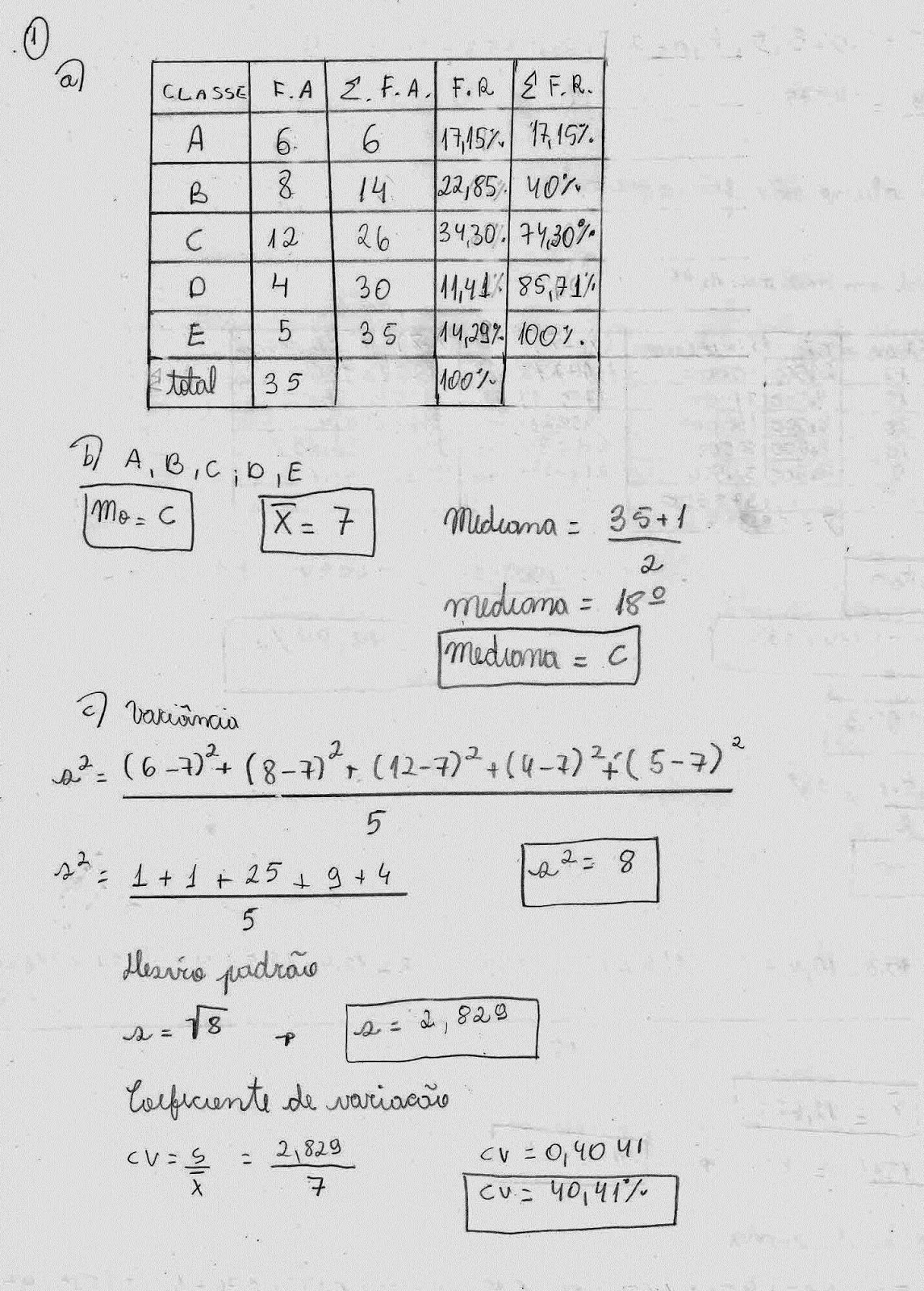
Exercicios De Media Mediana E Moda

Exercícios resolvidos sobre moda, média e mediana questão 1 — (enem 2012) o gráfico apresenta o comportamento de emprego formal surgido, segundo. Qual a diferença entre moda, mediana e média? Questões de estatística no enem para resolver com resolução. 01) determinar a media, mediana, moda dos seguintes conjuntos de valores: 2,3 3,0 2,5 0,8. 3738 2,1 1,5 1,9 1,7 1,2 2,1 1,3 2,0 2,7 2,3 2,1 1,7. 33 42 35 4436 28 37 35. Preparamos uma atividade de matemática voltada para alunos do 8º e 9º ano, abordando os conceitos de média, moda e mediana. Quer praticar mais destes tipos de exercícios? Confira este em cálculo da média.

Exercicios De Media Mediana E Moda

MEDIA MODA MEDIANA EJERCICIOS RESUELTOS

Como encontrar a mediana. A mediana é o dado que fica no centro de um. Confira questões resolvidas sobre média, moda e mediana. A média das idades deles é. A média é , a mediana é. A mediana é igual a anos. A mediana é igual a. A mediana é igual a 2,5. A mediana é igual a 16. A mediana é 45,5 kg e a.

Exercicios De Media Mediana E Moda
mediana esercizi schede matematica didattiche pianetabambini statistica esercizio lezioni attività bacheca
Exercicios De Media Mediana E Moda
mediana esercizi scuola matematica pianetabambini schede didattiche statistica grafici scuole verifiche problemi probabilità lezioni stampare riviste probabilit elementari esercizio

-

Atividade de matemática sobre média, moda e mediana para o 6º ano e 7º ano com gabarito. Você pode baixar esta atividade em pdf no final, pronta para. A média é a soma de todos os valores dividido pelo número de valores. A mediana é o valor central quando os dados estão em ordem crescente ou decrescente. Lista de exercícios sobre estatística (moda, média e mediana) com esta lista de exercícios, você testará seus conhecimentos sobre moda, média e mediana, medidas.

ESTATÍSTICA ENEM I MÉDIA, MODA e MEDIANA

Quer aprender estatística ? Então esse vídeo é pra você! Através de um exercício você vai aprender média, moda e mediana.

(enem 2021) o gerente de uma concessionária apresentou a seguinte tabela em uma reunião de dirigentes. Para encontrar a mediana, organizamos as notas em ordem crescente e encontramos o valor central. Com 50 avaliações, a mediana será a. Saiba como calcular a média, a moda e também a mediana de um conjunto de dados com estes exercícios abaixo. 1) determine a média, moda e mediana do seguinte conjunto. Como medir o centro em dados quantitativos. Média, mediana e moda. Exemplo de média, mediana e moda. Média, mediana e moda. Prova online de matemática sobre média, moda e mediana.