Equação De 2 Grau Calculadora

Webcomo usar a calculadora de equação do 2º grau? Essa é uma calculadora que resolve equações do segundo grau do tipo ax² + bx + c = 0. Webcalculadora de equação do 2ª grau. Weba equação do 2º grau é caracterizada pela variável “x” estar elevada ao quadrado “²”, por isso, sua fórmula geral é: Ax² + bx + c = 0. Para que isso seja. Webcalculadora equação 2º grau. Você precisa informar o sinal e o número correspondente a cada incógnita. Equação de segundo grau. Calculadora de equação de 2º grau.

Equação De 2 Grau Calculadora

EQUAÇÃO DO 2° GRAU: EQUAÇÃO DO 2° GRAU

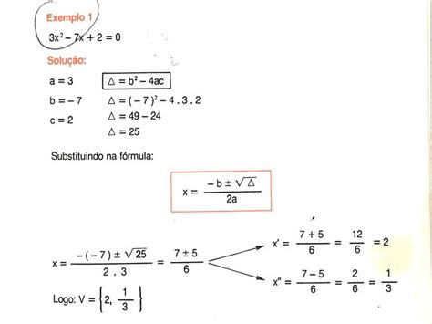
Calcular a fórmula de bhaskara. Ax² + bx + c = 0. Insira os valores de a, b e c: Equação do 2º grau. A equação do 2º grau é caracterizada por possuir uma incógnita de grau 2. Para resolver esse tipo de equação,. Webget the free equacao do segundo grau widget for your website, blog, wordpress, blogger, or igoogle. Find more mathematics widgets in wolfram|alpha. Resolve equações do segundo grau mostrando a resolução e gráfico. Resolve equações do segundo grau completas e incompletas.

-

Calcula passo a passo o delta, as raízes e gera gráfico interativo. Ax 2 + bx. Webcalcula e retorna o resultado das equações com uma variável. Resolve equações lineares, quadráticas, polinomiais, trigonométricas, racionais, irracionais, exponenciais,. Webequação do 2° grau é uma equação que possui pelo menos uma variável quadrática, por isso também é chamada de equação quadrática.

Como calcular SISTEMA DE SEGUNDO GRAU na calculadora científica

Descubra neste vídeo como realizar o cálculo de um sistema de segundo grau com a sua calculadora científica CASIO FX-82MS ...

Webacesse o link do aplicativo. Calcule as raízes das equações de segundo grau com essa incrível ferramenta. A calculadora de equações de segundo grau é uma ferramenta. Weba equação do 2º grau é do tipo ax² + bx + c = 0. Pode ser completa, se os seus coeficientes forem todos diferentes de zero, e incompleta, caso contrário. Webas equações do 2º grau completas são aquelas que apresentam todos os coeficientes, ou seja a, b e c são diferentes de zero (a, b, c ≠ 0). Por exemplo, a equação 5x 2 + 2x + 2 =. Webequação do segundo grau completa. Como temos uma equação do segundo grau completa, iremos calcular o seu discriminante a fim de podermos analisar se ela possui. Este solucionador de equações permite resolver a equação online com etapas de cálculo: