Equação Da Elipse Exercícios Resolvidos

Resultado da encontre a equação de uma elipse, e calcule sua área. Reconheça os principais elementos dessa figura plana. Resolva as questões desta lista. Portanto, o vértice está localizado em (1,3). Equação da elipse com centro fora da origem. Equação reduzida da elipse. Resultado da exercícios de livros relacionados. Mostre que a equação da reta tangente à elipse x 2 a 2 + y 2 b 2 = 1 no ponto x 0 ,y 0 da elipse é x 0 x a 2 +y 0 y. Resultado da a equação da elipse, contém muitas variáveis e vai mudar de acordo com a orientação do maior eixo da elipse. Caso o maior eixo for paralelo ao eixo.

Equação Da Elipse Exercícios Resolvidos

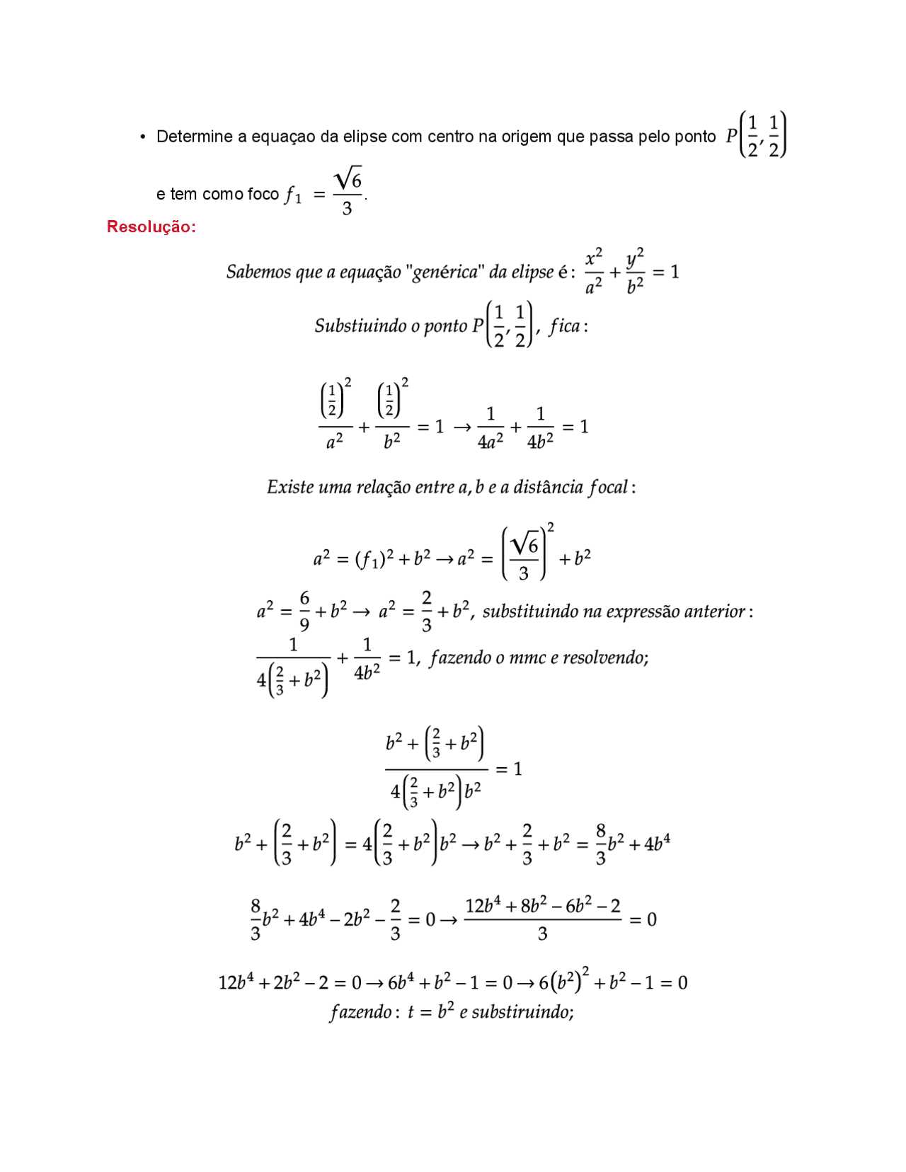
GEOMETRIA 3 – ELIPSE – Professora Renata Quartieri

Geometria analítica e álgebra linear. Resultado da learn more. 1. 8k views 1 year ago. Dicasdemat sandro curió ·. 3º ano do ensino médioprof vander. Resultado da exercícios resolvidos de equação da elipse com centro fora da origem. Exercícios de equação da elipse com centro fora da origem para. Resultado da exercícios resolvidos de equação da elipse com centro na origem. Exercícios de equação da elipse com centro na origem para resolver. Identifique e esboce as superfícies e.

-

Resultado da mostrar solução completa. Mais um problema com elipses!!! Mas, esse é um pouco diferente do que vínhamos fazendo. Resultado da exercícios resolvidos. (use π = 3,1) a) 18,1 cm².

ELIPSE | CÔNICAS | GEOMETRIA ANALÍTICA

Aprenda elipse com o Método Curió. 💥Curso completo de Matemática com o Método Curió. ( Básico ao avançado ) ...

Resultado da passo 1. Para podermos identificar as coordenadas dos focos, calcular a excentricidade e desenhar a elipse, precisamos calcular a equação. Resultado da google sala de aula. Revise seus conhecimentos sobre equações de elipse e suas propriedades: Centro, raios e focos. Qual é a equação reduzida de. Resultado da neste vídeo apresentamos um exercício resolvido da lista de exercício sobre cônica que pode ser encontrada no blog:. Resultado da equação da elipse exercícios resolvidos. Exercícios resolvidos sobre elipse. Resultado da equação geral do segundo grau a duas variáveis x e y.